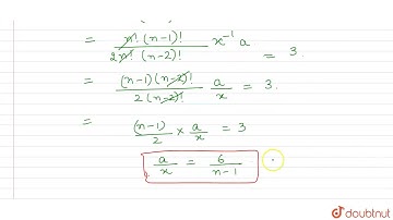
The sum of the binomial coefficients of the `3^(rd),4^(th)` terms from the beginning and from

Tonton & Download Video Musik Gratis

⬇ DOWNLOAD NOW
Kalau muncul iklan pop-up, tutup lalu klik tombol kembali

Download lagu The sum of the binomial coefficients of the `3^(rd),4^(th)` terms from the beginning and from secara gratis hanya untuk keperluan promosi. Dukung artis favorit kamu dengan membeli musik original di iTunes atau platform resmi lainnya.