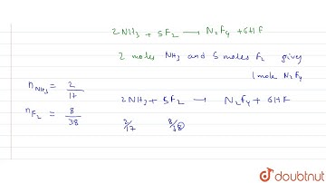
The mass of \( \mathrm{N}_{2} \mathrm{~F}_{4} \) produced by the re...

Tonton & Download Video Musik Gratis

⬇ DOWNLOAD NOW
Kalau muncul iklan pop-up, tutup lalu klik tombol kembali

Download lagu The mass of \( \mathrm{N}_{2} \mathrm{~F}_{4} \) produced by the re... secara gratis hanya untuk keperluan promosi. Dukung artis favorit kamu dengan membeli musik original di iTunes atau platform resmi lainnya.