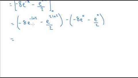
OCR C3 June 2016 q3i - AS/A2 Maths - Exponentials and Logs

Tonton & Download Video Musik Gratis

⬇ DOWNLOAD NOW
Kalau muncul iklan pop-up, tutup lalu klik tombol kembali

Download lagu OCR C3 June 2016 q3i - AS/A2 Maths - Exponentials and Logs secara gratis hanya untuk keperluan promosi. Dukung artis favorit kamu dengan membeli musik original di iTunes atau platform resmi lainnya.