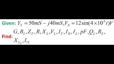
RL Parallel Circuit | Phasor Diagram | Impedance Angle or Phase Angle | Power Factor | Parameters

Tonton & Download Video Musik Gratis

⬇ DOWNLOAD NOW
Kalau muncul iklan pop-up, tutup lalu klik tombol kembali

Download lagu RL Parallel Circuit | Phasor Diagram | Impedance Angle or Phase Angle | Power Factor | Parameters secara gratis hanya untuk keperluan promosi. Dukung artis favorit kamu dengan membeli musik original di iTunes atau platform resmi lainnya.