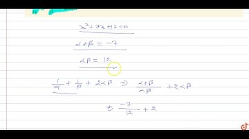
Polynomials class 10 mcqsIf α and β are the zeros of x2+7x+12, then find the value of 1/α+1/β-2αβ.

Tonton & Download Video Musik Gratis

⬇ DOWNLOAD NOW
Kalau muncul iklan pop-up, tutup lalu klik tombol kembali

Download lagu Polynomials class 10 mcqsIf α and β are the zeros of x2+7x+12, then find the value of 1/α+1/β-2αβ. secara gratis hanya untuk keperluan promosi. Dukung artis favorit kamu dengan membeli musik original di iTunes atau platform resmi lainnya.