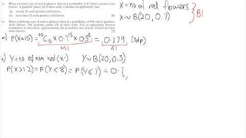
WJEC C1 2014 Jan Q5 - Binomial Series Solution

Tonton & Download Video Musik Gratis

⬇ DOWNLOAD NOW
Kalau muncul iklan pop-up, tutup lalu klik tombol kembali

Download lagu WJEC C1 2014 Jan Q5 - Binomial Series Solution secara gratis hanya untuk keperluan promosi. Dukung artis favorit kamu dengan membeli musik original di iTunes atau platform resmi lainnya.