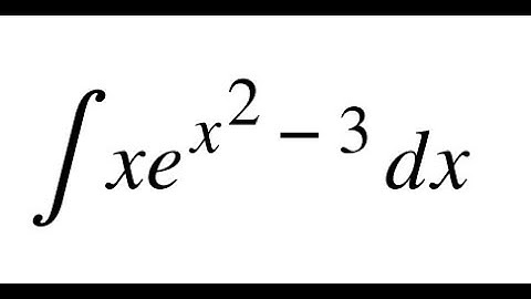
Integral of x / e^(x²) ✍️ | U-Substitution Explained | Step-by-Step Calculus Integration

Tonton & Download Video Musik Gratis

⬇ DOWNLOAD NOW
Kalau muncul iklan pop-up, tutup lalu klik tombol kembali

Download lagu Integral of x / e^(x²) ✍️ | U-Substitution Explained | Step-by-Step Calculus Integration secara gratis hanya untuk keperluan promosi. Dukung artis favorit kamu dengan membeli musik original di iTunes atau platform resmi lainnya.