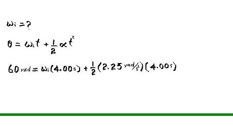
A turntable rotates with a constant 2.25 rad/s^2 clockwise angular acceleration. After 4.00 s it has

Tonton & Download Video Musik Gratis

⬇ DOWNLOAD NOW
Kalau muncul iklan pop-up, tutup lalu klik tombol kembali

Download lagu A turntable rotates with a constant 2.25 rad/s^2 clockwise angular acceleration. After 4.00 s it has secara gratis hanya untuk keperluan promosi. Dukung artis favorit kamu dengan membeli musik original di iTunes atau platform resmi lainnya.