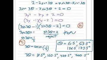
C3 - Jan 2012 - Edexcel Core Mathematics 3 - Question 7

Tonton & Download Video Musik Gratis

⬇ DOWNLOAD NOW
Kalau muncul iklan pop-up, tutup lalu klik tombol kembali

Download lagu C3 - Jan 2012 - Edexcel Core Mathematics 3 - Question 7 secara gratis hanya untuk keperluan promosi. Dukung artis favorit kamu dengan membeli musik original di iTunes atau platform resmi lainnya.