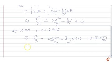
A particle starts from the origin with a velocity of 10 and moves along a straight line. If its...

Tonton & Download Video Musik Gratis

⬇ DOWNLOAD NOW
Kalau muncul iklan pop-up, tutup lalu klik tombol kembali

Download lagu A particle starts from the origin with a velocity of 10 and moves along a straight line. If its... secara gratis hanya untuk keperluan promosi. Dukung artis favorit kamu dengan membeli musik original di iTunes atau platform resmi lainnya.