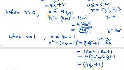
Show that the square of any positive integer is either of the form 4 q or 4 q+1 for some integer ...

Tonton & Download Video Musik Gratis

⬇ DOWNLOAD NOW
Kalau muncul iklan pop-up, tutup lalu klik tombol kembali

Download lagu Show that the square of any positive integer is either of the form 4 q or 4 q+1 for some integer ... secara gratis hanya untuk keperluan promosi. Dukung artis favorit kamu dengan membeli musik original di iTunes atau platform resmi lainnya.