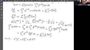
Arfken 7th Edition Section 20.8 Properties of Laplace Transforms - Transforms of Derivatives

Tonton & Download Video Musik Gratis

⬇ DOWNLOAD NOW
Kalau muncul iklan pop-up, tutup lalu klik tombol kembali

Download lagu Arfken 7th Edition Section 20.8 Properties of Laplace Transforms - Transforms of Derivatives secara gratis hanya untuk keperluan promosi. Dukung artis favorit kamu dengan membeli musik original di iTunes atau platform resmi lainnya.