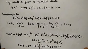
11th maths chapter 6 exercise 6.4 question 1-4 two dimensional analytical geometry tn syllabus

Tonton & Download Video Musik Gratis

⬇ DOWNLOAD NOW
Kalau muncul iklan pop-up, tutup lalu klik tombol kembali

Download lagu 11th maths chapter 6 exercise 6.4 question 1-4 two dimensional analytical geometry tn syllabus secara gratis hanya untuk keperluan promosi. Dukung artis favorit kamu dengan membeli musik original di iTunes atau platform resmi lainnya.