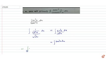
integration of sec²x/cosec²x | integral of sec^2x/cosec^2x | maths integration by Rajeev Pandey

Tonton & Download Video Musik Gratis

⬇ DOWNLOAD NOW
Kalau muncul iklan pop-up, tutup lalu klik tombol kembali

Download lagu integration of sec²x/cosec²x | integral of sec^2x/cosec^2x | maths integration by Rajeev Pandey secara gratis hanya untuk keperluan promosi. Dukung artis favorit kamu dengan membeli musik original di iTunes atau platform resmi lainnya.