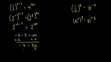
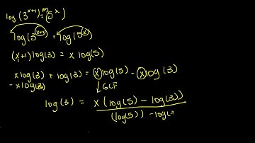
enVision Algebra 2 Topic 6-6 Example 2: Rewrite Exponential Equations Using Logarithms

Tonton & Download Video Musik Gratis

⬇ DOWNLOAD NOW
Kalau muncul iklan pop-up, tutup lalu klik tombol kembali

Download lagu enVision Algebra 2 Topic 6-6 Example 2: Rewrite Exponential Equations Using Logarithms secara gratis hanya untuk keperluan promosi. Dukung artis favorit kamu dengan membeli musik original di iTunes atau platform resmi lainnya.