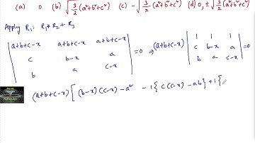
The determinant |[ a b aα+b; b c bα+c; aα+b bα+c 0 ]|=0 if(B) a, b, c are in G.P. ...

Tonton & Download Video Musik Gratis

⬇ DOWNLOAD NOW
Kalau muncul iklan pop-up, tutup lalu klik tombol kembali

Download lagu The determinant |[ a b aα+b; b c bα+c; aα+b bα+c 0 ]|=0 if(B) a, b, c are in G.P. ... secara gratis hanya untuk keperluan promosi. Dukung artis favorit kamu dengan membeli musik original di iTunes atau platform resmi lainnya.