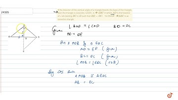
If the bisector of the vertical angle of a\ntriangle bisects the base of the triangle. then the\...

Tonton & Download Video Musik Gratis

⬇ DOWNLOAD NOW
Kalau muncul iklan pop-up, tutup lalu klik tombol kembali

Download lagu If the bisector of the vertical angle of a\ntriangle bisects the base of the triangle. then the\... secara gratis hanya untuk keperluan promosi. Dukung artis favorit kamu dengan membeli musik original di iTunes atau platform resmi lainnya.