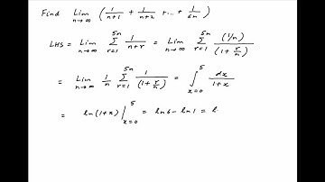
lim n tends to infinity (1/1+n + 1/2+n + 1/3+n+......+1/2n) is equal to #iitjeemains2023

Tonton & Download Video Musik Gratis

⬇ DOWNLOAD NOW
Kalau muncul iklan pop-up, tutup lalu klik tombol kembali

Download lagu lim n tends to infinity (1/1+n + 1/2+n + 1/3+n+......+1/2n) is equal to #iitjeemains2023 secara gratis hanya untuk keperluan promosi. Dukung artis favorit kamu dengan membeli musik original di iTunes atau platform resmi lainnya.