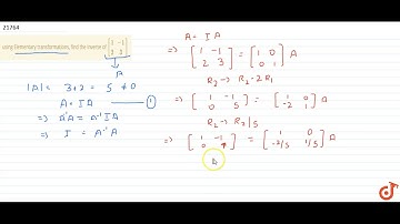
Using elementary transformations, find the inverse of the matrix `[1-1 2 3]`...

Tonton & Download Video Musik Gratis

⬇ DOWNLOAD NOW
Kalau muncul iklan pop-up, tutup lalu klik tombol kembali

Download lagu Using elementary transformations, find the inverse of the matrix `[1-1 2 3]`... secara gratis hanya untuk keperluan promosi. Dukung artis favorit kamu dengan membeli musik original di iTunes atau platform resmi lainnya.