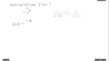
Rapid calculus - derivatives of inverse trig functions - arccos (KristaKingMath)

Tonton & Download Video Musik Gratis

⬇ DOWNLOAD NOW
Kalau muncul iklan pop-up, tutup lalu klik tombol kembali

Download lagu Rapid calculus - derivatives of inverse trig functions - arccos (KristaKingMath) secara gratis hanya untuk keperluan promosi. Dukung artis favorit kamu dengan membeli musik original di iTunes atau platform resmi lainnya.