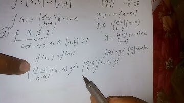
schaum's outline/ch#6/exercise question No 2/prove [0,1]~(0,1)/equipment and dunemerable

Tonton & Download Video Musik Gratis

⬇ DOWNLOAD NOW
Kalau muncul iklan pop-up, tutup lalu klik tombol kembali

Download lagu schaum's outline/ch#6/exercise question No 2/prove [0,1]~(0,1)/equipment and dunemerable secara gratis hanya untuk keperluan promosi. Dukung artis favorit kamu dengan membeli musik original di iTunes atau platform resmi lainnya.