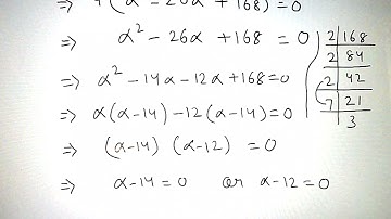
The sum of a natural number and its reciprocal is 65/8. Find the number. | RS Aggarwal 10 Ex 4D Q 17

Tonton & Download Video Musik Gratis

⬇ DOWNLOAD NOW
Kalau muncul iklan pop-up, tutup lalu klik tombol kembali

Download lagu The sum of a natural number and its reciprocal is 65/8. Find the number. | RS Aggarwal 10 Ex 4D Q 17 secara gratis hanya untuk keperluan promosi. Dukung artis favorit kamu dengan membeli musik original di iTunes atau platform resmi lainnya.