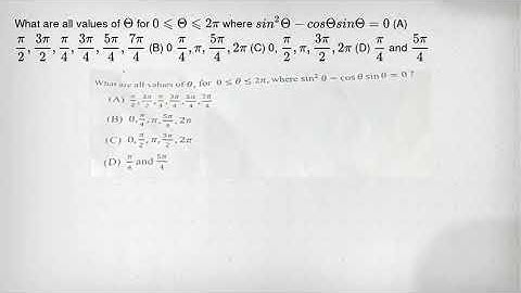
The number of all possible values of \( \theta \), where \( 0\theta \) \( \pi \), for which the ...

Tonton & Download Video Musik Gratis

⬇ DOWNLOAD NOW
Kalau muncul iklan pop-up, tutup lalu klik tombol kembali

Download lagu The number of all possible values of \( \theta \), where \( 0\theta \) \( \pi \), for which the ... secara gratis hanya untuk keperluan promosi. Dukung artis favorit kamu dengan membeli musik original di iTunes atau platform resmi lainnya.