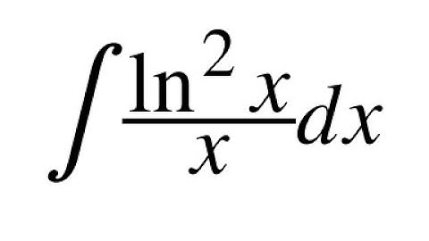
How to integrate (lnx^2)/x, integration by substitution, indefinite integral, calculus

Tonton & Download Video Musik Gratis

⬇ DOWNLOAD NOW
Kalau muncul iklan pop-up, tutup lalu klik tombol kembali

Download lagu How to integrate (lnx^2)/x, integration by substitution, indefinite integral, calculus secara gratis hanya untuk keperluan promosi. Dukung artis favorit kamu dengan membeli musik original di iTunes atau platform resmi lainnya.