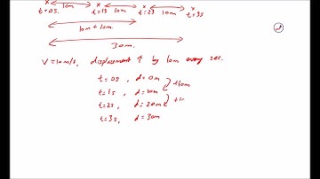
Learn "Acceleration" and related concepts! Singapore GCE O Level Physics: Kinematics

Tonton & Download Video Musik Gratis

⬇ DOWNLOAD NOW
Kalau muncul iklan pop-up, tutup lalu klik tombol kembali

Download lagu Learn "Acceleration" and related concepts! Singapore GCE O Level Physics: Kinematics secara gratis hanya untuk keperluan promosi. Dukung artis favorit kamu dengan membeli musik original di iTunes atau platform resmi lainnya.