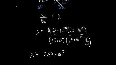
MDCAT 2018 MCQ: Calculate work function of a photocell having stopping potential equal to 0.25V

Tonton & Download Video Musik Gratis

⬇ DOWNLOAD NOW
Kalau muncul iklan pop-up, tutup lalu klik tombol kembali

Download lagu MDCAT 2018 MCQ: Calculate work function of a photocell having stopping potential equal to 0.25V secara gratis hanya untuk keperluan promosi. Dukung artis favorit kamu dengan membeli musik original di iTunes atau platform resmi lainnya.