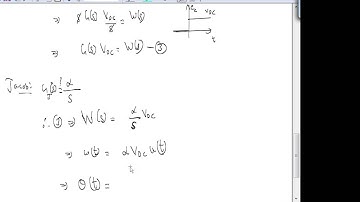
#electromechanical systems #transferfunction in the S domain Electromechanical system solved example

Tonton & Download Video Musik Gratis

⬇ DOWNLOAD NOW
Kalau muncul iklan pop-up, tutup lalu klik tombol kembali

Download lagu #electromechanical systems #transferfunction in the S domain Electromechanical system solved example secara gratis hanya untuk keperluan promosi. Dukung artis favorit kamu dengan membeli musik original di iTunes atau platform resmi lainnya.