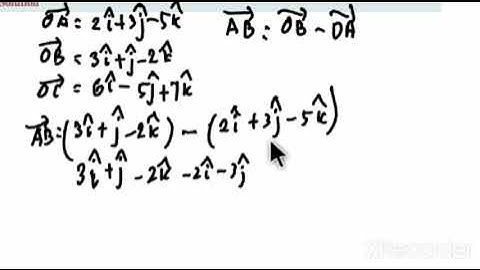
11th Std Maths Example 8.7 Show that points whose position 2i+3j-5k, 3i+j-2k and 6i-5j+7k

Tonton & Download Video Musik Gratis

⬇ DOWNLOAD NOW
Kalau muncul iklan pop-up, tutup lalu klik tombol kembali

Download lagu 11th Std Maths Example 8.7 Show that points whose position 2i+3j-5k, 3i+j-2k and 6i-5j+7k secara gratis hanya untuk keperluan promosi. Dukung artis favorit kamu dengan membeli musik original di iTunes atau platform resmi lainnya.