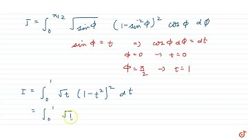
Evaluate the integrals `int_0^(pi/2) sqrt(sin phi)cos^5 phid phi`...

Tonton & Download Video Musik Gratis

⬇ DOWNLOAD NOW
Kalau muncul iklan pop-up, tutup lalu klik tombol kembali

Download lagu Evaluate the integrals `int_0^(pi/2) sqrt(sin phi)cos^5 phid phi`... secara gratis hanya untuk keperluan promosi. Dukung artis favorit kamu dengan membeli musik original di iTunes atau platform resmi lainnya.