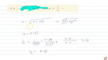
If `x=7+4sqrt(3)`, then find the value of `sqrt(x)+1/sqrt(x)`

Tonton & Download Video Musik Gratis

⬇ DOWNLOAD NOW
Kalau muncul iklan pop-up, tutup lalu klik tombol kembali

Download lagu If `x=7+4sqrt(3)`, then find the value of `sqrt(x)+1/sqrt(x)` secara gratis hanya untuk keperluan promosi. Dukung artis favorit kamu dengan membeli musik original di iTunes atau platform resmi lainnya.