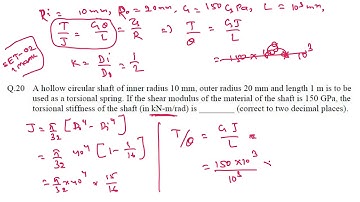
Mechanics of Solids Mechanical Engineering Previous Gate Questions 2018 SET 1 | GATE 2023

Tonton & Download Video Musik Gratis

⬇ DOWNLOAD NOW
Kalau muncul iklan pop-up, tutup lalu klik tombol kembali

Download lagu Mechanics of Solids Mechanical Engineering Previous Gate Questions 2018 SET 1 | GATE 2023 secara gratis hanya untuk keperluan promosi. Dukung artis favorit kamu dengan membeli musik original di iTunes atau platform resmi lainnya.