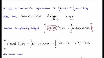
||10||. || Cauchy’s Theorem (Original) || Complex Integration.

Tonton & Download Video Musik Gratis

⬇ DOWNLOAD NOW
Kalau muncul iklan pop-up, tutup lalu klik tombol kembali

Download lagu ||10||. || Cauchy’s Theorem (Original) || Complex Integration. secara gratis hanya untuk keperluan promosi. Dukung artis favorit kamu dengan membeli musik original di iTunes atau platform resmi lainnya.