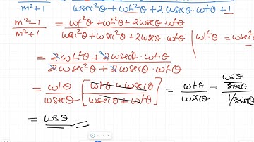
#Trigonometry If (cosec A+ cot A) = m then prove that m²-1/ m²+1 = cos A

Tonton & Download Video Musik Gratis

⬇ DOWNLOAD NOW
Kalau muncul iklan pop-up, tutup lalu klik tombol kembali

Download lagu #Trigonometry If (cosec A+ cot A) = m then prove that m²-1/ m²+1 = cos A secara gratis hanya untuk keperluan promosi. Dukung artis favorit kamu dengan membeli musik original di iTunes atau platform resmi lainnya.