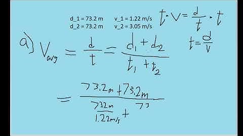
Compute your average velocity in the following two cases: (a) You walk 73.2 m at a speed of 1.22 m/s

Tonton & Download Video Musik Gratis

⬇ DOWNLOAD NOW
Kalau muncul iklan pop-up, tutup lalu klik tombol kembali

Download lagu Compute your average velocity in the following two cases: (a) You walk 73.2 m at a speed of 1.22 m/s secara gratis hanya untuk keperluan promosi. Dukung artis favorit kamu dengan membeli musik original di iTunes atau platform resmi lainnya.