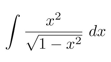
Integrate x^2/sqrt(1-x^2). Trigonometric Substitution Example 2

Tonton & Download Video Musik Gratis

⬇ DOWNLOAD NOW
Kalau muncul iklan pop-up, tutup lalu klik tombol kembali

Download lagu Integrate x^2/sqrt(1-x^2). Trigonometric Substitution Example 2 secara gratis hanya untuk keperluan promosi. Dukung artis favorit kamu dengan membeli musik original di iTunes atau platform resmi lainnya.