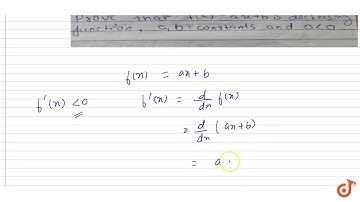
Prove that f(x) = ax + b where a, b are constants and a greater than 0 is an increasing function o

Tonton & Download Video Musik Gratis

⬇ DOWNLOAD NOW
Kalau muncul iklan pop-up, tutup lalu klik tombol kembali

Download lagu Prove that f(x) = ax + b where a, b are constants and a greater than 0 is an increasing function o secara gratis hanya untuk keperluan promosi. Dukung artis favorit kamu dengan membeli musik original di iTunes atau platform resmi lainnya.