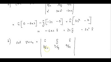
PROBLEM 1.18 Calculate the curl of vector functions Griffiths electrodynamics 4th ed. URDU/HINDI

Tonton & Download Video Musik Gratis

⬇ DOWNLOAD NOW
Kalau muncul iklan pop-up, tutup lalu klik tombol kembali

Download lagu PROBLEM 1.18 Calculate the curl of vector functions Griffiths electrodynamics 4th ed. URDU/HINDI secara gratis hanya untuk keperluan promosi. Dukung artis favorit kamu dengan membeli musik original di iTunes atau platform resmi lainnya.