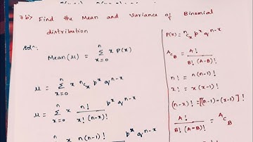
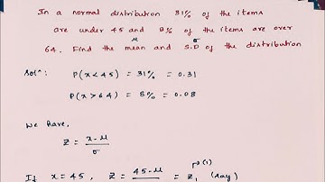
[21MATCS41] Model Question Paper 1 (Q.8b) | Module 4 Probability distribution

Tonton & Download Video Musik Gratis

⬇ DOWNLOAD NOW
Kalau muncul iklan pop-up, tutup lalu klik tombol kembali

Download lagu [21MATCS41] Model Question Paper 1 (Q.8b) | Module 4 Probability distribution secara gratis hanya untuk keperluan promosi. Dukung artis favorit kamu dengan membeli musik original di iTunes atau platform resmi lainnya.