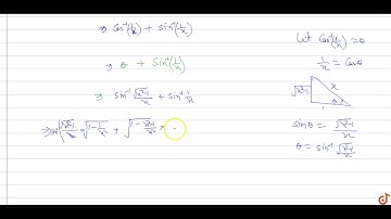
cosec-1(x)+sec-1(x)=π/2 trigonomery identies solve | cosec inverse X + sec inverse X = pi by 2

Tonton & Download Video Musik Gratis

⬇ DOWNLOAD NOW
Kalau muncul iklan pop-up, tutup lalu klik tombol kembali

Download lagu cosec-1(x)+sec-1(x)=π/2 trigonomery identies solve | cosec inverse X + sec inverse X = pi by 2 secara gratis hanya untuk keperluan promosi. Dukung artis favorit kamu dengan membeli musik original di iTunes atau platform resmi lainnya.