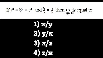
if by+cz/b^2+c^2=cz+ax/c^2+a^2=ax+by/a^2+b^2 then prove that-x/a=y/b=z/c

Tonton & Download Video Musik Gratis

⬇ DOWNLOAD NOW
Kalau muncul iklan pop-up, tutup lalu klik tombol kembali

Download lagu if by+cz/b^2+c^2=cz+ax/c^2+a^2=ax+by/a^2+b^2 then prove that-x/a=y/b=z/c secara gratis hanya untuk keperluan promosi. Dukung artis favorit kamu dengan membeli musik original di iTunes atau platform resmi lainnya.