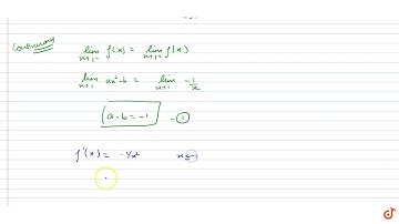
lf `f(x) ={ax^2+b ,x leq 1 and bx^2+ax+c , x gt1; b != 0`, then `f(x)` is continuous and dif

Tonton & Download Video Musik Gratis

⬇ DOWNLOAD NOW
Kalau muncul iklan pop-up, tutup lalu klik tombol kembali

Download lagu lf `f(x) ={ax^2+b ,x leq 1 and bx^2+ax+c , x gt1; b != 0`, then `f(x)` is continuous and dif secara gratis hanya untuk keperluan promosi. Dukung artis favorit kamu dengan membeli musik original di iTunes atau platform resmi lainnya.