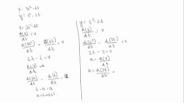
The position of a particle moving in XY-plane varies with time t as `x=t, y=3t-5`. (i) What is th

Tonton & Download Video Musik Gratis

⬇ DOWNLOAD NOW
Kalau muncul iklan pop-up, tutup lalu klik tombol kembali

Download lagu The position of a particle moving in XY-plane varies with time t as `x=t, y=3t-5`. (i) What is th secara gratis hanya untuk keperluan promosi. Dukung artis favorit kamu dengan membeli musik original di iTunes atau platform resmi lainnya.