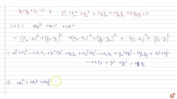
If G be the centroid of a triangle A B C, prove that: A B^2+B C^2+C A^2=3(G A^2+G B^2+G C^2)

Tonton & Download Video Musik Gratis

⬇ DOWNLOAD NOW
Kalau muncul iklan pop-up, tutup lalu klik tombol kembali

Download lagu If G be the centroid of a triangle A B C, prove that: A B^2+B C^2+C A^2=3(G A^2+G B^2+G C^2) secara gratis hanya untuk keperluan promosi. Dukung artis favorit kamu dengan membeli musik original di iTunes atau platform resmi lainnya.