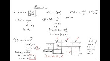
MAT 1120 Tutorial Sheet 2025 Q4-Q6: LIVE SESSION

Tonton & Download Video Musik Gratis

⬇ DOWNLOAD NOW
Kalau muncul iklan pop-up, tutup lalu klik tombol kembali

Download lagu MAT 1120 Tutorial Sheet 2025 Q4-Q6: LIVE SESSION secara gratis hanya untuk keperluan promosi. Dukung artis favorit kamu dengan membeli musik original di iTunes atau platform resmi lainnya.