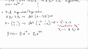
System of differential equations with distinct eigenvalues - Example -4 part-1- Lesson-14

Tonton & Download Video Musik Gratis

⬇ DOWNLOAD NOW
Kalau muncul iklan pop-up, tutup lalu klik tombol kembali

Download lagu System of differential equations with distinct eigenvalues - Example -4 part-1- Lesson-14 secara gratis hanya untuk keperluan promosi. Dukung artis favorit kamu dengan membeli musik original di iTunes atau platform resmi lainnya.