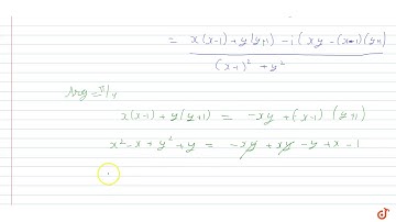
The mirror image of the curve arg((z+i)/(z-1))=π/4 in the line x-y=0 is

Tonton & Download Video Musik Gratis

⬇ DOWNLOAD NOW
Kalau muncul iklan pop-up, tutup lalu klik tombol kembali

Download lagu The mirror image of the curve arg((z+i)/(z-1))=π/4 in the line x-y=0 is secara gratis hanya untuk keperluan promosi. Dukung artis favorit kamu dengan membeli musik original di iTunes atau platform resmi lainnya.