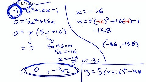
Pre-Calculus 11 - Lesson 4.5 - Equivalent forms of the Equation of a Quadratic Function

Tonton & Download Video Musik Gratis

⬇ DOWNLOAD NOW
Kalau muncul iklan pop-up, tutup lalu klik tombol kembali

Download lagu Pre-Calculus 11 - Lesson 4.5 - Equivalent forms of the Equation of a Quadratic Function secara gratis hanya untuk keperluan promosi. Dukung artis favorit kamu dengan membeli musik original di iTunes atau platform resmi lainnya.