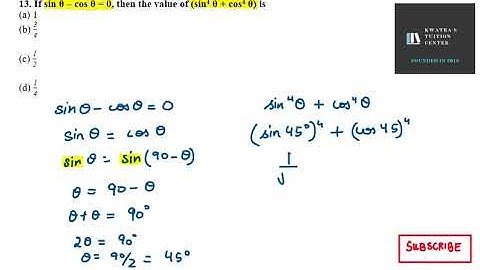
If sin theta - cos theta = 0 then find the value of sin4 theta + cos4 theta | Trigonometry Class 10

Tonton & Download Video Musik Gratis

⬇ DOWNLOAD NOW
Kalau muncul iklan pop-up, tutup lalu klik tombol kembali

Download lagu If sin theta - cos theta = 0 then find the value of sin4 theta + cos4 theta | Trigonometry Class 10 secara gratis hanya untuk keperluan promosi. Dukung artis favorit kamu dengan membeli musik original di iTunes atau platform resmi lainnya.