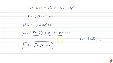
If a ,\ b ,\ c are positive real numbers, then sqrt(a^(-1)b)\ xx\ sqrt(b^(-1)\ c)\ xx\ sqrt(c^(-...

Tonton & Download Video Musik Gratis

⬇ DOWNLOAD NOW
Kalau muncul iklan pop-up, tutup lalu klik tombol kembali

Download lagu If a ,\ b ,\ c are positive real numbers, then sqrt(a^(-1)b)\ xx\ sqrt(b^(-1)\ c)\ xx\ sqrt(c^(-... secara gratis hanya untuk keperluan promosi. Dukung artis favorit kamu dengan membeli musik original di iTunes atau platform resmi lainnya.