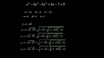
Typical Quartic Showing Always 4 Solutions using PHANTOM GRAPHS

Tonton & Download Video Musik Gratis

⬇ DOWNLOAD NOW
Kalau muncul iklan pop-up, tutup lalu klik tombol kembali

Download lagu Typical Quartic Showing Always 4 Solutions using PHANTOM GRAPHS secara gratis hanya untuk keperluan promosi. Dukung artis favorit kamu dengan membeli musik original di iTunes atau platform resmi lainnya.